|  服务 产品   | 
 
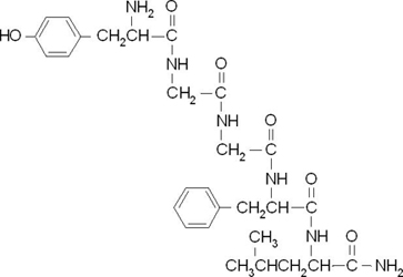
	 [Leu5]-Enkephalin, Amide 
      
        
		| 名称 | [Leu5]-Enkephalin, Amide |  
		| 别名 |  |  
		| 序列(单字母缩写) | YGGFL-NH2 |  
		| 序列(三字母缩写) | {TYR}{GLY}{GLY}{PHE}{LEU}-NH2 |  
		| C-端 | NH2 |  
		| 基本描述 | Enkephalin, one of several naturally occurring morphinelike substances (endorphins) released from nerve endings of the central nervous system and the adrenal medulla. They act as analgesics and sedatives in the body and appear to affect mood and motivation. Leu-enkephalin is an opioid peptide that has been found to modulate nociception in the spinal cord. Some anatomical results suggest that neurons containing immunoreactive Leu-enkephalin in the dorsal horn, some of which may receive input from primary afferents, modulate nociception by directly synapsing with cells of origin of the spinothalamic tract and also by interacting with primary afferent terminals. |  
		| 分子量 | 554.640 |  
		| 化学式 | C28H38N6O6 |  
		| 纯度 | > 95% |  
		| 存储条件 | Store at -20°C. Keep tightly closed. |  
		| 注释 |  |  
		| Documents |   |  
		| Figures |   |  
		| Reference |  |  |