强耀生物科技
强耀生物
强耀生物
强耀生物科技version: English | 中文版
强耀生物科技
强耀生物科技
Online Service 
强耀生物科技
强耀生物科技
Scan For WeChat
强耀生物科技
Phone Web

Services
Products强耀生物科技
强耀生物
Your location:Home>> Products >> Hot Polypeptide

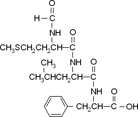
强耀生物科技 N-Formyl-Met-Leu-Phe
Name N-Formyl-Met-Leu-Phe
Other Name MLF; M-L-F
Sequence (Single letter abbreviations) N-Formyl-MLF
Sequence(Three letter abbreviations) N-Formyl-{MET}{LEU}{PHE}
Basic description N-formyl-methionyl-leucyl-phenylalanine (fMLP), the chemotactic bacterial peptide, was able to specifically attenuate Ca2+ mobilization in human phagocytes induced by SAA, but only at very concentrations. The bacterial peptide N-formyl-methionyl-leucyl-phenylalanine (fMLF) is one of the first identified and ly potent leukocyte chemoattractants. fMLF interacts with at least two human cell receptors formyl peptide receptor (FPR) and its variant formyl peptide receptor-like 1 (FPRL1), both are members of the seven transmembrane domain, G protein-coupled receptor (GPCR) family.
Solubility Insoluble in water. Dissolve dry peptide in small quantity of DMSO. When completely dissolved further dilute with desired buffer.
The molecular weight 437.560
Chemical formula C21H31N3O5S1
The purity > 95%
Storage conditions Store at -20°C. Keep tightly closed. Store in a cool dry place.
N-port Formylation
Documents 文档
Figures 文档
Reference van den Broek LJ., et al. Differential response of human adipose tissue-derived mesenchymal stem cells, dermal fibroblasts and keratinocytes to burn wound exudates: potential role of skin specific chemokine CCL27. Tiss


Contact Us    |    Jobs    |    About Us    |    My Account   
TEL:021-50795728 0512-63930660 E-MAIL: outside@ChinaPeptides.com
COPYRIGHT © 2009 ChinaPeptides CORPORATION. ALL RIGHTS RESERVED