强耀生物科技
强耀生物
强耀生物
强耀生物科技version: English | 中文版
强耀生物科技
强耀生物科技
Online Service 
强耀生物科技
强耀生物科技
Scan For WeChat
强耀生物科技
Phone Web

Services
Products强耀生物科技
强耀生物
Your location:Home>> Products >> Hot Polypeptide

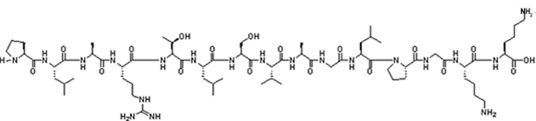
强耀生物科技 Syntide 2
Name Syntide 2
Other Name
Sequence (Single letter abbreviations) PLARTLSVAGLPGKK
Sequence(Three letter abbreviations) {PRO}{LEU}{ALA}{ARG}{THR}{LEU}{SER}{VAL}{ALA}{GLY}{LEU}{PRO}{GLY}{LYS}{LYS}
Basic description The native peptide PLARTLSVAGLPGKK is a selective substrate for CaM kinase II and PKC. It is also a poor substrate for phosphorylase kinase and is not phosphorylated by myosin light chain kinase. The sequence of PLARTLSVAGLPGKK is homologous to phosphorylation site 2 in glycogen synthase. The relative Vmax/Km ratios of the peptide for different kinases are 100 for CaMK II, 22 for PKC, 2 for phosphorylase kinase, and 0.5 for myosin light chain kinase, respectively.
Solubility Soluble in water: clear, colorless, 1 mg/ml H2O
The molecular weight 1507.820
Chemical formula C68H122N20O18
The purity > 95%
Storage conditions Store at -20°C. Keep tightly closed.
Annotation
Documents 文档
Figures 文档
Reference K Barcomb., etc. Enzymatic activity of CaMKII is not required for its interaction with the glutamate receptor subunit GluN2B. Mol Pharmacol. 2013 Sep;84(6):834-43.


Contact Us    |    Jobs    |    About Us    |    My Account   
TEL:021-50795728 0512-63930660 E-MAIL: outside@ChinaPeptides.com
COPYRIGHT © 2009 ChinaPeptides CORPORATION. ALL RIGHTS RESERVED